Office of Operations Freight Management and Operations

Appendix 2. New Derivation of DC for NCHRP342

While reviewing Report 342, a problem was identified with the definition and derivation of DC, as the proportional change in operating costs per vehicle mile of use at current volumes or level of service. The problem, stemming from non-additive proportional changes, has now been resolved and can be found below.

At Appendix D, DC was defined as the proportional change in total operating costs to the firm per physical unit given current transport volume or level of service. A problem was determined with the derivation of DC when substituted into subsequent expressions. The cause of these difficulties was identified as taking a sum of proportional changes. A revised derivation is developed here.

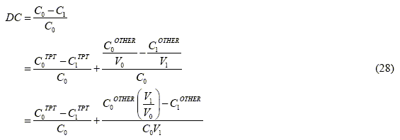
By definition, it is possible to write DC asthe following expression should read: uppercase D C equals the quotient of uppercase C subscript zero minus uppercase C subscript 1 over uppercase C subscript zeroDC = (C0C1)/C0, wherethe following expression should read: uppercase C subscript zeroC0 is the current average user cost per physical unit, andthe following expression should read: uppercase C subscript 1C1 is the user cost per physical unit after highway improvements. The problem arises when DC is expressed in terms of direct and indirect savings. In general, proportionate changes are not additive. A revised expression is developed below based on first principles.

Letthe following expression should read: uppercase C superscript uppercase T subscript zeroC0T be the total annual logistics cost to the firm. This cost is decomposed as:

Equation 26

where total costthe following expression should read: uppercase C superscript uppercase T subscript zeroC0T is the sum of transportation costs, inventory costs (incl. warehousing and holding), and procurement costs. In-transit inventory carrying costs are assumed to be captured by overall procurement costs. For simplicity, the later two costs in (1.1) will be denoted asthe following expression should read: uppercase C superscript uppercase OTHER subscript zeroC0OTHER.

The average cost per vehicle mile is then:

Equation 27

This expression, and that forthe following expression should read: uppercase C subscript 1C1 can be substituted into DC. We obtain:

Equation 28

The new expression states that the proportionate change in average cost per vehicle mile is a combination of proportionate savings in transportation and a scaled change in other costs. With this correction, the expression for DC can then be carried forward in the determination of consumer surplus.

previous
Office of Operations